
Найдите все значения параметра 𝑎, при каждом из которых уравнение x2+a2-6x-4a=2x+2a- №14833
3 недели назад
1 просмотров

Найдите все значения параметра 𝑎, при каждом из которых уравнение — №14831
3 недели назад
1 просмотров

Найдите все значения параметра 𝑎, при каждом из которых уравнение x2-a2=3×2-(3a+1)x+a — №14829
3 недели назад
1 просмотров

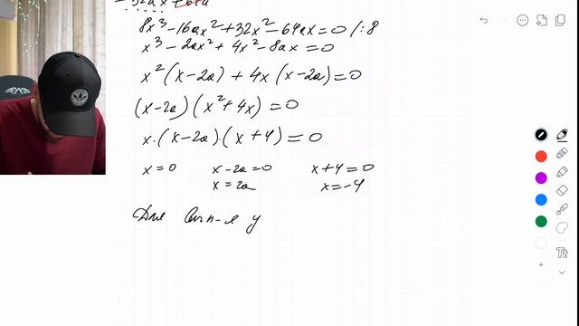
Найдите все значения параметра 𝑎, при каждом из которых уравнениеx 4-16×2+64a2 = x2+4x-8a — №14828
3 недели назад
1 просмотров

ЕГЭ 2025 Профиль Задача 1: Окружность (№3) — Разбор и решение | ЕГЭ Математика
3 недели назад
2 просмотров


































