Skip to content
SPORUNS.RU
НАЙТИ
Правообладателям
Каталог
Главная
Авто-мото
Аниме
Аудио
Аудиокниги
Бизнес и предпринимательство
Видеоигры
Детям
Дизайн
Еда
Животные
Здоровье
Интервью
Красота
Культура
Лайфстайл
Лайфхаки
Музыка
Мультфильмы
Наука
Недвижимость
Обзоры и распаковки
Обучение
Охота и рыбалка
Природа
Психология
Путешествия
Развлечения
Разное
Религия
Сад и огород
Сериалы
Спорт
Строительство и ремонт
Телепередачи
Техника и оборудование
Технологии и интернет
Фильмы
Хобби
Эзотерика
Юмор
Ундозер
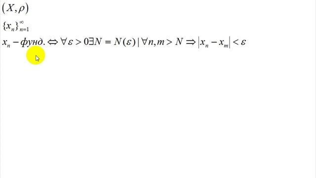
Метрические пространства | полные метрические пространства
2 недели назад
5 просмотров
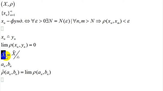
пополнение метрических пространств | 3
2 недели назад
2 просмотров
разные ступеньки | одномерные задачи | задачи по квантовой механике
2 недели назад
5 просмотров
задачи по квантовой механике | построение эрмитово сопряженных
2 недели назад
4 просмотров
фундаментальная группа 7 махание руками
4 недели назад
4 просмотров
Гомологии тора
4 недели назад
2 просмотров
Мотивация клеточных пространств
4 недели назад
2 просмотров
Считаем клеточные гомологии тор 5 махание руками
4 недели назад
3 просмотров
Сингулярные цепи
4 недели назад
3 просмотров
Сингулярные гомологии
4 недели назад
2 просмотров
Относительные гомологии 4
4 недели назад
3 просмотров
Тензорное произведение линейных пространств
4 недели назад
2 просмотров
Тензорное произведение линейных пространств Обобщение 1
4 недели назад
2 просмотров
Последовательность Майера Вьеториса подготовка 2
4 недели назад
3 просмотров
Последовательность Майера Вьеториса примеры 1
4 недели назад
3 просмотров
Ранг абелевой группы 1
4 недели назад
2 просмотров
Теорема брауэра 1
4 недели назад
2 просмотров
Теорема брауэра 2
4 недели назад
2 просмотров
Теорема Лефшеца 4
4 недели назад
2 просмотров
© 2026
SPORUNS.RU